التجاوز إلى المحتوى

بوكسنل الإخباري

شبكة متنوعة تهتم بالشأن العربي، اخبار ، ثقافة وفنون ، الغاز واسئلة ، والمزيد مع بوكسنل

  • اخبار الخليج
  • اخبار مصر
  • فن ومشاهير
  • اسأل بوكسنل
  • منوعات
الرئيسية ⁄ تمرين ⁄ الصفحة 4

تمرين

اسأل بوكسنل

حل تمرين 43 ص 20 رياضيات 1 ثانوي

اسأل بوكسنل

حل تمرين 32ص39 رياضيات 4 متوسط

اسأل بوكسنل

حل تمرين 5 ص 15 فرنسية 4 متوسط

اسأل بوكسنل

حل تمرين 47 ص 17 رياضيات 4 متوسط

اسأل بوكسنل

حل تمرين 8 صفحة 88 فيزياء 1 ثانوي؟

اسأل بوكسنل

حل تمرين 19 ص 27 رياضيات 4 متوسط ( أجب )

اسأل بوكسنل

حل تمرين 89 ص 48 رياضيات 1 ثانوي

منوعات

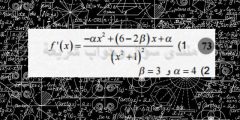
حل تمرين 44 ص 21 رياضيات 1 ثانوي علمي

حل تمرين 14 ص 102 رياضيات 4 متوسط

تعليمي

حل تمرين 14 ص 102 رياضيات 4 متوسط

منوعات

فيديو هيدي كرم وابنها "تمرين ضغط" عبر الانستغرام يثير الاثارة ! أخبار أخرى

اسأل بوكسنل

حل تمرين 1 و 2 ص 46 رياضيات 1 ثانوي اداب

منوعات

حل تمرين 2 صفحة 73 انجليزية 3 متوسط

منوعات

حل تمرين 35 ص 28 رياضيات 2 ثانوي علوم تجريبية

اسأل بوكسنل

حل تمرين 5 ص 14 رياضيات 3 متوسط

اسأل بوكسنل

حل تمرين 18 ص 50 رياضيات 4 متوسط

منوعات

حل تمرين 4 ص 47 علوم طبيعية اولى ثانوي؟

منوعات

حل تمرين 1 ص 26 رياضيات 4 متوسط

منوعات

حل تمرين 6 صفحة 26 فيزياء 3 متوسط

حل تمرين 55 ص 110 رياضيات 1 ثانوي

تعليمي

حل تمرين 55 ص 110 رياضيات 1 ثانوي

حل تمرين 73 ص 87 رياضيات 2 ثانوي

تعليمي

حل تمرين 73 ص 87 رياضيات 2 ثانوي

تصفّح المقالات

السابق 1 2 3 4 5 6 … 23 التالي

أحدث المقالات

  • ارشاد الحافلات يمكّن العنصر النسائي لخدمة ضيوف الرحمن خلال موسم الحج 
  • اختبار رياضيات أول ثانوي مسارات الفصل الثاني 1447 مع الحل PDF (مراجعة متكاملة)
  • اختتام فعاليات بينالي الدرعية للفن المعاصر 2026
  • اختبار رياضيات ثاني ثانوي مسارات الفصل الثاني 1447 مع الحل PDF (مراجعة شاملة )
  • في عمليتين متفرقتين.. شل نشاط شبكتين تُتاجران وتُروّجان المؤثرات العقلية بالوادي
  • اختبار لغتي أول ابتدائي الفصل الثاني 1447  PDF (مراجعة شاملة  )
  • هذه هي العمليات التكوينية المبرمجة لفائدة القضاة والموظفين
  • اختبار رياضيات خامس ابتدائي الفصل الثاني 1447 مع الحل PDF (نماذج قوية للمراجعة)
  • المدير العام للحماية المدنية يهنئ الأسرة الإعلامية
  • رسم الأشكال الثلاثية الأبعاد جديد للصف الأول متوسط (شرح وخطوات PDF)
  • Answered: de oprichter van dit woonwarenhuis overleed in 2018 cryptogram
  • il curioso nome con cul e nota la centella asiatica?
  • wie het kleine niet eert is het grote niet weerd
  • nederlandse film met tygo gernandt
  • vanaf welke leeftijd bouw je pensioen op
  • سياسة الخصوصية
  • اتصل بنا
© 2021 بوكسنل الإخباري